【机情无限 精彩毕设】机械2025届毕业设计(论文)中期检查优秀案例分享第八期——先进陶瓷椭圆超声加工中超声激励的影响探究
学生姓名:雷雨泽
班 级:机械2021-01班
指导教师:秦娜
毕设题目:《先进陶瓷椭圆超声加工中超声激励的影响探究》
一、概况
1.选题意义
SiC陶瓷材料具有化学性能稳定、耐高温、耐磨损、耐腐蚀、导热系数高、热膨胀系数小、密度小、机械强度高等优点,因此被广泛应用于多个领域。首先,其优异的高温强度和抗热震性,使其成为高温环境下的理想材料。它可用作高温窑具材料,如碳化硅横梁、碳化硅冷风管等。同时,在火箭、飞机、汽车发动机和燃气轮机等领域,SiC陶瓷也作为静态热机部件的主要材料之一,用于制造如燃烧室环、燃烧室简体导向叶片和涡轮转子等高温部件。其次,SiC陶瓷的高硬度和较低的摩擦系数赋予其优异的耐磨性能。它可加工成各种形状、尺寸精度和表面光洁度高的密封环,作为机械密封在许多苛刻环境下使用,具有气密性好、寿命长等特点。此外,SiC陶瓷还可用于制造高性能刹车盘和离合器等汽车零部件,提供优异的耐磨性和耐高温性能。。同时,SiC陶瓷还具有高弹性模量和优异的力学性能,使得它在单兵装备及警、民用特种车辆等装甲防护领域得到越来越广泛的应用。除了上述领域外,SiC陶瓷还在核工业、石油化工、电子器件和医疗等领域展现出广泛的应用前景。
同时,也正是因为SiC陶瓷材料的硬脆特性,导致其加工性能较差。硬脆材料因其高硬度与高脆性,通常以裂纹演变引发的脆性断裂去除为主,极易发生裂纹、微破碎、剥落与边缘碎裂等脆性损伤,严重降低了切削加工表面完整性。成为可加工性差、加工成本高、加工效率低和碎裂损伤敏感等特点的难加工材料,从而限制了其广泛应用。传统的切削加工技术(铣削、钻削等)应用于SiC陶瓷材料时,并不能解决上述难题。目前,使用金刚石砂轮的磨削加工和车削加工等加工方式比较成熟且应用较为广泛。超声加工技术作为一种新型先进精密加工技术,相比于传统的加工方式,其在刀具上施加不同方向、频率、振幅的振动,使刀具周期性地切削材料,影响材料的去除过程,有效降低切削力,改善加工质量。国内外学者在超声系统及其部件的设计、已经工艺参数优化等方面已经做出了大量的研究并将其应用于实际的切削中。但是,由于材料的不均匀性以及由于制备方法引起的缺陷,导致对切削力、缺陷表面形成过程产生较大的影响。若单纯采用实验方法研究超声辅助切削过程会使实验条件复杂、实验量庞大且成本较高。近年来,随着计算机水平的不断发展,有限元法逐渐被用于硬脆材料切削过程的分析中。目前,对于陶瓷基复合材料的切削有限元模型的研究不多,且主要是宏观机械模型(Macro Mechanical Model)或二维切削模型。因此,通过仿真模拟探究超声激励对SiC陶瓷材料表面损伤、亚表面损伤以及其他方面的影响,对于今后SiC陶瓷材料的加工、应用有着十分重要的意义。
本次毕业设计主要是运用有限元分析软件abaqus,建立SiC的切削仿真模型。通过设计多组仿真实验,以表面质量和亚表面损伤为标准,探究各个切削参数的影响。再通过实际实验数据进行比对,进一步优化模型,最终提出具有一定参考价值的最优切削参数。
2.任务分解
(1)查阅文献。了解SiC陶瓷材料的制备、加工和应用;椭圆超声加工在国内外的发展历程、实际应用以及发展前景。
(2)搜集资料,学习并掌握椭圆超声加工的基本原理。
(3)进行仿真软件的操作学习,明确各环节操作的意义,熟练掌握仿真流程。
(4)通过具体实例进行仿真。
(5)了解材料各个参数的获取途径、物理意义,理解材料损伤的力学模型。
(6)学会表面质量的获取方法和步骤,并进行试验操作,获取材料表面形貌,并学会使用微观显微镜进行观测,获取所需数据。
(7)对比仿真数据和实验数据,优化模型。
二、已完成工作
1.熟练仿真过程。
仿真流程如以下流程图所示:
图 1仿真分析流程图
2.确定材料损伤模型,并完成超声加工的仿真分析。
(1)确定JHB模型为本次仿真分析的损伤模型
在模型的选取上,SiC是典型的硬脆材料,在目前SiC的切削仿真分析中,几乎都采用具有线弹性损伤萌发的本构模型,比较常见的有Drucker-Prager、JH-2、JHB模型。本次仿真采用SiC的JHB本构模型,该模型更适合具有大应变量、高应变率的SiC切削加工过程。
(2)确定合适的模型尺寸
在工件模型的建立上,由于SiC的硬脆特性,导致其切削深度不能太大,一般为微米级的切削深度,特殊的还有纳米级的切削。如果工件模型过大,在网格划分上面会存在较大问题,即使网格密度很大,也无法精确地表现裂纹生长等亚表面损伤。并且在提交作业后,软件也有可能因为不合理的网格划分或过多的网格数量而报错。若尺寸太小,SiC在正常加工过程中存在的缺陷如裂纹、崩边等,这些缺陷的尺寸无法在小尺寸工件上完全体现出来,从结果上来看,往往会出现整个工件的断裂,作业也会由于部分单元发生严重变形而中断。因此,一个尺寸合适的工件模型对于切削仿真非常重要。经过多次的建模、仿真的验证,本次建模综合考虑相关文献推荐的切削深度、裂纹深度、网格数量以及软件运算效率等多方面因素,发现在切削深度内有5-10个单元,单元数量控制在十万左右可以得到较好的仿真效果。由此建立的工件在切深方向的尺寸设置为切削深度的100倍到500倍之间比较合适。从相关文献上来看,在SiC椭圆超声加工中工件表面出现的裂纹深度通常是几微米到几十微米。因此,综合以上各个因素以及尝试过的仿真结果,最终确定在实验设计的仿真实验中采用1*0.5mm的工件模型。
(3)切削参数设置
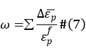
有关文献指出,椭圆超声切削有分离型和不分离型两种,其区别在于分离型在切削过程中刀具与工件加工表面周期性分离、接触,而不分离型在加工过程中刀具始终与工件接触。相对而言,分离型椭圆超声切削可以使切削液浸入刀具和工件之间的切削区,更好地发挥其降温、润滑的作用,从而提高刀具寿命。具体实现方法如下:
设超声波椭圆振动轨迹为:
则刀具相对工件运动轨迹为:
对上式求导得:
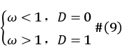
由(5)式知,当
,即切削速度小于x方向施加的振动速度时,刀具即可与工件分离。
(4)建立两相模型
由于制备工艺的限制,SiC基体中会分布少量Si颗粒。而建立SiC与Si颗粒的两相二维切削模型更加符合实际情况。面对大量Si颗粒的随机分布,采用传统人工建模的方法不现实,在此采用python子程序进行自动建模,思路如下:
图 2生成颗粒流程图
生成颗粒后,将颗粒集与SiC基体进行合并装配,此时系统默认Si颗粒边界与SiC基体绑定约束。初次建模采用的Si颗粒为圆形,但是在网格划分的过程中,由于不规则的网格以及极小的网格尺寸导致在生成网格时,有部分网格因尺寸过小而失效。为解决上述问题,通过相关案例得到启发,将Si颗粒的形状设置为正多边形,经过尝试,该模型可以满足要求。
图 3圆形Si颗粒
图 4正多边形Si颗粒
由于两相模型的复杂性,建模通常需要5-6小时。考虑到时间问题,后面将优先完成单相模型的仿真分析。
(5)参数敏感性研究
在建模、仿真过程中,软件的部分操作以及参数设置也会对仿真结果造成影响,现对此加以说明。
首先在材料参数上,SiC的JHB本构模型通过40个参数常量定义材料的变形、损伤以及失效行为。在abaqus官方帮助文档中有关SiC的JHB案例中,对其各个参数的赋值给出了示例。
其中,在判断材料是否失效时,JHB本构采用以下方法:
当(9)式中
时,材料仍处于塑性应变积累阶段,当
时,材料发生失效。
因此,通过控制
的大小,即可控制工件在切削过程中损伤的速度。
在质量缩放系数上,增大质量缩放系数可以提高运算速度。有文献指出,缩放系数是否合理取决于系统动能与内能之比,当动能占内能的5%以内时,认为质量缩放系数是合理的。在本次仿真分析中,选择的质量缩放系数是100000。
在网格划分模块,选择的单元类型为CPE4R,沙漏控制选择组合,其中刚度粘性因子权重设置为0.8。分析发现,当沙漏控制按照abaqus提供的官方例程选择松弛刚度时,材料会发生很严重的变形、断裂。而选择粘性时,切屑之间会粘连呈现絮状。这两种情况都不是理想的。通过多次实验分析,最终确定将权重因子设置为0.8比较合适。
图 5松弛刚度
图 6组合
(6)多因素仿真实验设计
由于椭圆超声加工所涉及的参数比较多,所以一次实验设计无法完成探究各个因子的影响的任务。因此采用单因素实验与正交实验结合的方法。首先以切削深度为单一变量,设置单因素实验,三组切削深度分别为2
、4
、6
。结果表明2
的切削深度可获得较好的加工表面质量。然后设计切削速度、x放振幅、超声频率的三因素、三水平正交实验。

表 1正交实验设计
受仿真分析的运算速度限制,现阶段工作汇报如上,望老师指正。
三、下一步工作计划
1.继续推进后续任务,完成单因素实验和正交实验的仿真分析,并读取能够表征加工表面质量的数据。借助绘图工具,探究各个因素对表面质量和亚表面损伤的影响。
2.根据目前工作中存在的问题,应继续查阅相关文献、软件教程,探究在建立模型过程中一些操作的具体作用,而对于其底层的原理不必过分追究。
3.在得到效果较好的仿真模型后,应积极参与真实的实验检验,获取实验数据,与仿真数据进行对比,进一步优化模型。
4.对两相模型建模的算法进行优化。
问题一:两相模型是自己建立的还是导师提供的模型?
回答:是自己建立的,其中python是通过deepseek生成案例 模板,自己再根据实际情况修改其中Si颗粒的占比、大小、形状等模型参数。后期将对代码检验Si颗粒是否重叠以及生成思路进行优化。具体实现方法是参考网格划分的形式,将工件区域划分成大量细小的正方形单元作为基本单元,其中所有的Si颗粒均由若干个基本单元组成,即建立一个“像素”风格的模型,这样可以最大程度上减少网格形状、分布的不规则导致网格失效的可能性。
问题二:建立的是宏观模型还是微切削模型?
回答:本次仿真建立的是微切削模型,工件参数是1*0.5mm,这样可以在切削深度处于微米级时仍保持较小的网格尺寸,更加准确地观察裂纹生长以及其他形式的损伤。
问题三:椭圆形的刀具轨迹会对加工表面造成影响吗?
回答:不会。由于对刀具施加了超声振动,因此在宏观上可以看作直线运动。反而因为分离式的椭圆超声加工能够使切削液进入刀具与工件之间的切削区域,更好地发挥冷却、润滑的作用,提高了表面质量和刀具寿命。
经过本次答辩,本人对毕业设计有了更加全面的认识,在准备答辩的过程中也相当于温故知新,对前面做的所有工作进行了汇总,理清了思路。也对后面工作做出了比较实际的规划。另一方面,在建立模型上,也提出了一种新的思路,获得了老师的认可,更加坚定了着手后面工作的信心。