【机情无限 精彩毕设】机械2025届毕业设计(论文)中期检查优秀案例分享第二十六期——低频磁电位移传感器优化设计与实验测试
学生姓名:冷祥超
班 级:机械2021-01班
指导教师:王熙
毕设题目:低频磁电位移传感器优化设计与实验测试
一、概况
1.选题意义
随着工业自动化、智能制造、航空航天等领域的快速发展,对位移测量的精度、稳定性和可靠性要求越来越高。例如,在精密加工机床、精密仪器设备中,需要实现微米级甚至亚纳米级的位移测量。
磁电式位移传感器因其非接触式测量、高灵敏度、高精度以及在复杂环境下的稳定表现,在机械工业、汽车工业、医疗器械、航空航天等领域具有广泛应用。然而,随着技术的不断进步和应用需求的提高,对磁电式位移传感器的性能要求也越来越高,尤其是在低频测量、测量范围、稳定性、抗干扰能力等方面。
本设计旨在提高磁电式位移传感器的低频性能,这对实际工程中低频信号的拾取有着重要的意义。
2.任务分解
(1)了解背景与可行性分析
通过查询国内外文献与资料,了解国内外研究现状。了解磁电式动圈传感器的结构与原理,并且对该类传感器进行数学建模,推导模型传递函数,明确传递函数与哪些参数有关。
(2)研究低频磁电位移传感器的整体方案
在对该传感器的研究成果有充分的分析与研究的基础上,完成传感器的整体方案设计,包括传感器的结构设计,实现准零刚度结构设计和将准零刚度融入传感器的结构设计。
(3)对低频磁电位移传感器进行建模与设计
在完成上述结构设计后,对传感器进行3D建模,再进行空间磁场分析,对传感器的结构进行优化。
(4)加工样机
通过模型设计传感器的具体结构参数,加工一个样机并进行测试实验,测试在低频情况下传感器能否测得较为精准的结果。
图 1计划甘特图
二、已完成工作
1.数学模型及可行性分析
图 2传感器数学模型
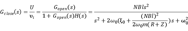
则系统的开环传递函数可表示为
|
当系统与电路联通时考虑电磁阻力
图 3闭环传感器模型

图 4传感器闭环传递框图
反馈传递函数
为
|
闭路传递函数为
|
从式(4.6)与(4.12)可以看出二者形式类似,区别只是阻尼比的不同。将闭路状态下阻尼比设为
可得
|
通过matlab绘制该传递函数的幅频特性曲线
图 5不同固有频率下幅频特性曲线

图 6准零刚度原理图
准零刚度结构可以使刚度下降到1.38N/mm
2.电磁仿真
利用Maxwell进行建模仿真
图 7 2D电磁仿真模型
仿真结果如图:

图8 maxwell电磁仿真结果
上述结果表明在速度周期变化时,产生的感应电压也随速度周期变化。灵敏度大概为150mv/m/s.
3.准零刚度仿真
利用Maxwell进行建模仿真
图 9准零刚度模型图
弹簧使用一个力位移函数代替,并且弹簧劲度系数为700N/m,原长为10mm。
仿真结果如图:
图 10maxwell准零刚度仿真图
在0-2.5mm内弹簧劲度系数比较平缓,大概为0.1N/mm。
4.3D模型的建立
利用solidworks完成基本模型的建立

图 11 3D框架图 图12 剖视图
三、下一步工作计划
1.设计积分电路将速度信号转化为位移信号。
2.加工样机进行试验调试。
3.撰写论文并答辩。
问题一:加工样机后需要做什么?
回答:加工样机看准零刚度是否将传感器的低频性能提升,得到灵敏度的值。
问题二:实验与仿真的数据差距过大怎么办?
回答:如果仿真和实验的差距在70%以上就大概符合预期,当低于这个值的时候需要调整装置结构以提高性能。
问题三:实验和仿真的关系是什么?
回答:实验是为了验证电脑仿真的结果,以达到预期的设计目的,实验和仿真并不能独立,需要在论文中体现出来。
在准备低频磁电式位移传感器项目的中期答辩过程中,我深刻体会到了科研工作的严谨性和系统性。通过前期大量文献调研,我对磁电式传感器的原理、应用场景和技术难点有了更深入的理解。在实验设计阶段,我反复验证了传感器结构参数对低频响应特性的影响,建立了初步的理论模型。在完成低频磁电式位移传感器的中期研究及答辩后,我深刻体会到这一阶段的科研工作不仅推动了项目的进展,更让我在专业知识、实践能力、科研思维和团队协作等方面获得了显著的成长。



